基于多光谱LED组合的A+级太阳能模拟器优化设计与实验验证
太阳能模拟器用于室内模拟太阳光,LED 因高效、长寿命在其设计中受关注。国际电工委员会的 IEC 60904 - 9:2020 标准更新,引入新光谱范围、A + 类光谱要求等准则,Luminbox全光谱 LED太阳模拟器,致力于满足大面积均匀光照的严格要求,以A+AA+综合性能,实现光谱精准、辐照均匀与运行稳定的三重突破,通过权威认证,为科研与工业测试提供高可靠、标准化的全光谱光照解决方案。
太阳模拟器的核心作用
太阳模拟器的主要功能是复现太阳光谱,是一种能够在室内条件下对太阳能电池特性进行可控测量的设备。传统的太阳模拟器通常使用氙灯或卤素灯作为光源,但这些光源存在能耗高、寿命短、光谱匹配度有限等问题。
相比之下,LED光源具有显著优势:
高效节能:LED的功率转换效率远高于传统光源。
长寿命:LED的使用寿命可达数万小时,远胜氙灯。
精准调控:通过组合不同波长的LED,可以更灵活地匹配太阳光谱。

模型与计算方法:多光谱优化探寻最优解
本文旨在通过一系列模拟,依据标准中最新定义的准则,对基于 LED 的以及 LED 与卤素灯混合的太阳模拟器进行优化。
研究人员在研究中考虑了 15 种光源光谱。为确定满足 A + 类光谱要求的最少光源组合,他们先通过数值优化找到初步的光源子集,之后再添加光源以降低光谱失配。在这一过程中,Matlab 优化工具箱里的 fmincon 求解器发挥了重要作用,它能帮助研究人员找到满足约束条件的非线性多变量函数的最小值。
光源模型表
结果与讨论:优化成果显著
1.A + 类太阳能模拟器的最小光源集:研究发现仅用四种 LED 光源就能实现 A + 类光谱,如 L4.1 和 L4.2 配置。L4.1 配置保留了与之前研究中相同的光谱覆盖,但光谱偏差有所增加;L4.2 配置由于采用了 1050nm 的 LED,光谱覆盖更高且偏差更低,这得益于其与标准 AM1.5G 光谱中大气传输窗口的匹配。
AM1.5G 参考光谱与经调整的太阳能模拟器光谱图
2.降低光谱失配因子:尽管 L4.1 和 L4.2 配置满足 A + 类光谱要求,但它们的光谱失配因子符号相反。通过混合这两种配置的光源形成 L5 配置,并添加 365nm 的 UV LED 得到 L6 配置,能显著降低光谱失配因子,同时提高光谱覆盖、降低光谱偏差。
L4.1、L4.2 及混合配置 L5 的光谱图(图左)
展示不同配置太阳能模拟器光谱,以及 L5、L6 配置下光谱失配因子与 365nm UV LED 辐照度关系图(图右)
3.提高光谱覆盖:卤素灯的宽光谱特性为提高 1100 - 1200nm 的光谱覆盖提供了有效途径。例如 H5 配置,仅用五种不同类型的光源就实现了较高的光谱覆盖;H6 配置在此基础上添加 405nm LED,进一步提升了光谱覆盖,且光谱失配因子也处于较低水平。
H8 配置太阳能模拟器光谱及光谱失配因子与 k 关系图

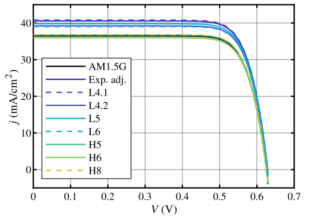
不同照明光谱下模拟的 j-v 曲线
4.电流 - 电压特性模拟:通过模拟不同光谱照射下硅光电池的电流 - 电压特性发现,仅 LED 的模拟器短路电流密度比标准 AM1.5G 光谱高 12%,而混合了卤素灯的模拟器短路电流值更接近标准值,开路电压差异则较小。这表明混合模拟器在模拟真实太阳光方面具有一定优势。
L6 模拟器原始和 a-Si 优化光谱,以及光谱失配因子与 740nm LED 辐照度关系图(图左)
H5 模拟器原始和 a-Si 优化光谱,以及光谱失配因子与 740nm LED 辐照度关系(图右)
5.设计的可制造性:研究人员以之前的太阳能模拟器为基础进行实验,验证优化设计的可制造性。实验发现,添加 365nm 和 1050nm 的 LED 后,能在一定程度上实现优化目标。虽然集成卤素灯存在技术挑战,但实验证明在现有模拟器的尺寸范围内,有望实现混合太阳能模拟器的光谱优化,不过 1050nm LED 的功率或布局还需进一步优化。
混合太阳能模拟器实验设计图
研究结论:开启新的研究方向
研究表明,利用新定义的光谱范围和商用冷白 LED 的特性,仅用四种不同类型的光源就能构建 A + 类太阳能模拟器。通过精心设计 LED 组合,可大幅降低光谱失配因子。调整 740nm LED 的辐照度对不同类型光电池的光谱失配影响不同,可用于同时优化针对多种光电池的太阳能模拟器,但可能需要在光谱等级上做出一定妥协。此外,使用卤素灯能有效提高光谱覆盖,混合模拟器在性能上表现更优。实验还验证了部分优化设计的可制造性,为后续研究和实际应用奠定了基础。
全光谱大面积LED太阳模拟器以A+AA+综合性能,实现光谱精准、辐照均匀与运行稳定的三重突破,通过权威认证,为科研与工业测试提供高可靠、标准化的全光谱光照解决方案,推动精密光学实验迈向更高精度与可重复性。
1. A+级光谱匹配:300-1200 nm全覆盖,误差≤1%(IEC标准)。
2. 高均匀辐照:45cm×45cm区域不均匀度仅1.8%(A级)。
3. 超稳运行:20分钟波动≤0.5%(A+级)。
4. 权威认证:国家计量院校准,国际标准合规。
5. 工业级设计:适配光伏、材料、光催化等多场景。
LED太阳模拟器的诞生,标志着光伏测试技术从“经验驱动”全面转向“数据驱动”。Luminbox全光谱大面积LED太阳模拟器的模块化设计、光谱可编程特性与长时稳定性,不仅为实验室研究提供了可追溯、可复现的光照基准,更突破了传统光源在工业级大规模测试中的效率瓶颈。