光谱匹配度对太阳能光催化反应器定量解析
利用太阳光驱动光催化过程在环境和经济领域潜力巨大,复合抛物面收集器光反应器(CPCs - PR)是极具前景的非聚光太阳能反应器。 然而,太阳辐照功率和光谱的高可变性影响其效率和成本。本研究构建多物理模型,采用光谱带离散化方法,探究入射光光谱分布与半导体材料吸收光谱的匹配对太阳能光催化反应器模拟精度的影响,为光反应器建模提供新方法。 Luminbox太阳光模拟器采用持久可靠的创新技术,通过精准光谱调控满足各类光化学实验的定制化需求,为科研人员提供稳定可控的"人造太阳"实验平台。
一、光催化实验方法
1. 光催化反应器结构
太阳能光催化反应器由一根细长的玻璃管和一个抛物线形反光罩(CPC)组成。玻璃管直径约2.6厘米,长度38厘米,内部被光照的区域仅有0.2升,但整个系统(含储水罐)可容纳1升液体。水流通过水泵以每分钟12.3升的速度循环,确保污染物与催化剂充分接触。反光罩表面经过特殊处理,能将85%的直射光精准反射到玻璃管中心,最大限度利用光能。
光催化反应器结构与光谱特性图
2.光源选择
实验使用两种光源:
1. 实验室模拟阳光:采用高功率氙灯,光线方向固定,反光罩垂直放置。
2. 自然阳光:根据实验地点的地理位置(北纬40.33度),反光罩倾斜40度,以匹配当地太阳高度角,提升采光效率。
3.反应过程
研究人员以“甲醇→甲醛”的转化反应测试效率:
l催化剂:使用纳米二氧化钛粉末,浓度在0.02~0.1克/升之间调节。
l检测指标:通过测量生成的甲醛量,直接反映反应效率。
l科学依据:该反应的详细机理和光吸收效应已通过前期实验验证,确保结果可靠。
这种设计能对比不同光源(如自然光与人工光)对反应效率的影响,帮助优化太阳能驱动的污染处理技术,为实际应用提供数据支持
二、光催化的计算模型
1. 多物理场模型
研究人员构建了一个计算机模型,能同时模拟四大关键过程:
l水流运动:像预测河流如何流动,确保污染物与催化剂充分“碰撞”。
l光线追踪:计算每束光在反应器内的路径,看它被催化剂吸收多少。
l物质扩散:跟踪甲醛如何生成,并随水流扩散到整个系统。
l化学反应:根据吸收的光能量,预测反应速度有多快
2. 紫外光谱的精细化处理
传统模型将整个紫外光波段(320-400纳米)视为均一能量,但实际不同波长的光被催化剂吸收的效率差异显著。为此,模型将紫外光划分为三个子波段:
l波段1(320-350纳米):催化剂吸收效率最高,但光源在此区间发射的光较少。
l波段2(350-370纳米):中等吸收效率。
l波段3(370-400纳米):吸收效率最低,但光源在此区间发射的光较多。
通过分别计算每个波段的光吸收,模型精度比传统方法提升50%以上。
分波段光吸收对比图
3. 自然光与人工光的对比机制
氙灯模拟阳光:光谱中长波长(370-400纳米)占比较高,但催化剂在此区间吸收能力弱,导致光能浪费。
自然阳光:短波长(320-350纳米)占比更高,与催化剂高吸收区匹配,能量利用率显著提升。
模型通过分波段计算,准确量化了两种光源的效率差异,下图显示出氙灯(16.4W/m²)与自然光(16.2W/m²)总能量相近,但自然光在短波段吸收更多能量。

自然光和人工光能量对比图
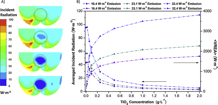
4. 催化剂浓度的优化分析
当二氧化钛浓度低于0.25克/升时,增加催化剂可提升光吸收。
超过0.25克/升后,外层催化剂已完全吸光,内层因光线不足无法参与反应,导致材料浪费
这一结果为工业反应器的催化剂用量提供了明确指导。
辐射场与催化剂浓度的关系图
5. 模型验证与误差控制
通过对比实验数据,模型预测的甲醛生成速率误差控制在15%以内
单波段模型因忽略光谱差异,预测值比实验值高2.3倍;分波段模型显著缩小了误差。下图显示所有实验数据点(含不同光源、浓度)沿对角线分布,误差14.5%。
预测反应速率与实验反应速率的对比图
6. 动态天气的模拟挑战
在晴天条件下,模型能准确预测反应进程;但阴天时,因光照强度快速变化,稳态模型无法实时响应。未来需引入动态光强更新功能以提升适用性。

A 图展示晴天时实验结果与 CFD 模型预测;B 图展示阴天时情况;C 图对比自然阳光和人工光(氙灯)下的实验结果与预测
三、研究结论
本研究提出的整体建模方法预测太阳能光反应器降解能力的误差低于 15% ,证实了本征动力学参数在反应器设计中的实用性。光谱带发射/吸收模型显著提升了预测准确性,能解释太阳模拟器和自然阳光实验结果的差异。太阳矢量与RTE计算的耦合为光反应器建模提供了有效工具,推动了该技术的大规模应用
全光谱大面积LED太阳模拟器以A+AA+综合性能,实现光谱精准、辐照均匀与运行稳定的三重突破,通过权威认证,为科研与工业测试提供高可靠、标准化的全光谱光照解决方案,推动精密光学实验迈向更高精度与可重复性。
1. A+级光谱匹配:300-1200 nm全覆盖,误差≤1%(IEC标准)。
2. 高均匀辐照:45cm×45cm区域不均匀度仅1.8%(A级)。
3. 超稳运行:20分钟波动≤0.5%(A+级)。
4. 权威认证:国家计量院校准,国际标准合规。
光化学作为精密科学,要求对反应过程中的入射光强度与光谱特性实施精准调控——这些变量直接决定着产物的特异性与收率。 Luminbox太阳光模拟器采用持久可靠的创新技术,通过精准光谱调控满足各类光化学实验的定制化需求,为科研人员提供稳定可控的"人造太阳"实验平台。